Manual Workers Meaning - Ebook And Manual Free

The Blue Collar Drought

The Blue Collar Drought

Labour Vs Labor

Labour Vs Labor

Unskilled Semi Skilled And Skilled Labor Defined Esub

Unskilled Semi Skilled And Skilled Labor Defined Esub

Labor Utility Labour Economics Free 30 Day Trial Scribd

Labor Utility Labour Economics Free 30 Day Trial Scribd

The Value Of Work And Knowledge Workers

The Value Of Work And Knowledge Workers

Manual Handling Assessing The Risks

Manual Handling Assessing The Risks

Unskilled Semi Skilled And Skilled Labor Defined Esub

Unskilled Semi Skilled And Skilled Labor Defined Esub

Climate Change Training Manual Ethical Tea Partnership

Climate Change Training Manual Ethical Tea Partnership

Worker Synonyms Collins English Thesaurus

Worker Synonyms Collins English Thesaurus

Social Class An Introduction To The Concept Revisesociology

Social Class An Introduction To The Concept Revisesociology

Employee Induction Manual By Our Community Issuu

Employee Induction Manual By Our Community Issuu

White Collar Vs Blue Collar Jobs What S The Difference Thestreet

White Collar Vs Blue Collar Jobs What S The Difference Thestreet

What The Future Of Work Will Mean For Jobs Skills And Wages

What The Future Of Work Will Mean For Jobs Skills And Wages

Https Www Responsiblebusiness Org Media Docs Workinghoursguidance Pdf

Https Www Responsiblebusiness Org Media Docs Workinghoursguidance Pdf

What To Include In An Employee Handbook Inc Com

What To Include In An Employee Handbook Inc Com

Workplace Ergonomics 101 Lower Costs And Boost Productivity

Workplace Ergonomics 101 Lower Costs And Boost Productivity

General Laborer Job Description Duties And Requirements

General Laborer Job Description Duties And Requirements

Http Www Sciencedirect Com Science Article Pii S1474667017615027 Pdf Md5 5d465a3ec389992de2442b64fec7e9fe Pid 1 S2 0 S1474667017615027 Main Pdf

Http Www Sciencedirect Com Science Article Pii S1474667017615027 Pdf Md5 5d465a3ec389992de2442b64fec7e9fe Pid 1 S2 0 S1474667017615027 Main Pdf

Manual Labour Wikipedia

Manual Labour Wikipedia

Construction Worker Wikipedia

Construction Worker Wikipedia

Solutions Manual For Strategic Compensation A Human Resource Mangemen

Solutions Manual For Strategic Compensation A Human Resource Mangemen

Bureau Of Labor Statistics

Bureau Of Labor Statistics

Chapter 4 Who Should Be Getting Minimum Wages 4 5 Informal

Chapter 4 Who Should Be Getting Minimum Wages 4 5 Informal

Care For Children Infected And Those Affected By Hiv Aids A

Care For Children Infected And Those Affected By Hiv Aids A

Knowledge Workers Who They Are And What They Do

Knowledge Workers Who They Are And What They Do

Https Www Ilo Org Wcmsp5 Groups Public Dgreports Integration Documents Publication Wcms 229374 Pdf

Https Www Ilo Org Wcmsp5 Groups Public Dgreports Integration Documents Publication Wcms 229374 Pdf

How To Write A Work Instruction A Simple Step By Step Guide Gluu

How To Write A Work Instruction A Simple Step By Step Guide Gluu

Daily Wage Rate Meaning Slang

Daily Wage Rate Meaning Slang

A Step By Step Guide To The Niosh Lifting Equation

A Step By Step Guide To The Niosh Lifting Equation

Https Encrypted Tbn0 Gstatic Com Images Q Tbn 3aand9gcs R3f7giwpyhtb91nn7b88ig Eaphf5ixm5igvnb Fvy X63xu Usqp Cau

Https Encrypted Tbn0 Gstatic Com Images Q Tbn 3aand9gcs R3f7giwpyhtb91nn7b88ig Eaphf5ixm5igvnb Fvy X63xu Usqp Cau

Exercise Is Only Beneficial When Done Outside Your Job Study

Exercise Is Only Beneficial When Done Outside Your Job Study

Https Encrypted Tbn0 Gstatic Com Images Q Tbn 3aand9gcsho3ckd5zj Zhum A4sdmpywlxvelfd Lmv2jrfb4k7rclzfle Usqp Cau

Https Encrypted Tbn0 Gstatic Com Images Q Tbn 3aand9gcsho3ckd5zj Zhum A4sdmpywlxvelfd Lmv2jrfb4k7rclzfle Usqp Cau

Human Capital Definition And Importance Economics Help

Human Capital Definition And Importance Economics Help

Manual Labor Definition Of Manual Labor By The Free Dictionary

Manual Labor Definition Of Manual Labor By The Free Dictionary

Blue Collar Worker Wikipedia

Blue Collar Worker Wikipedia

A New Meaning For Manual Labor World Next Door

A New Meaning For Manual Labor World Next Door

Labor Definition Of Labor By Merriam Webster

Labor Definition Of Labor By Merriam Webster

The Gainsharing Design Manual Alsndoos Com

The Gainsharing Design Manual Alsndoos Com

Digital Divide Skills And Perceptions On Digitalisation In The

Digital Divide Skills And Perceptions On Digitalisation In The

A Handy Article On The Meaning Of Manual Labour Historical

A Handy Article On The Meaning Of Manual Labour Historical

Forced Labour What Is Forced Labour Anti Slavery International

Forced Labour What Is Forced Labour Anti Slavery International

Working Class Wikipedia

Working Class Wikipedia

How To Create Training Manual Steps And Template Included

How To Create Training Manual Steps And Template Included

Manual Labour Wikipedia

Manual Labour Wikipedia

National Guidelines And Manual For Innovation Fund For Green Jobs Cre

National Guidelines And Manual For Innovation Fund For Green Jobs Cre

Individual Meaning Centered Psychotherapy For Patients With

Individual Meaning Centered Psychotherapy For Patients With

To Protect Frontline Workers During And After Covid 19 We Must

To Protect Frontline Workers During And After Covid 19 We Must

Ipsas Finance Manual

Ipsas Finance Manual

Chapter 21 Labour Resources And Human Resources Management

Chapter 21 Labour Resources And Human Resources Management

Chapter 21 Labour Resources And Human Resources Management

Chapter 21 Labour Resources And Human Resources Management

Sample Employee Handbook Template A Complete Guide Workable

Sample Employee Handbook Template A Complete Guide Workable

A Guide To Minimum Wage In Belgium And Average Salary Expatica

A Guide To Minimum Wage In Belgium And Average Salary Expatica

New Updated Director S Manual And Other Documentation Potomac

New Updated Director S Manual And Other Documentation Potomac

Ppt Ergonomics Initiative At Cummins Powerpoint Presentation

Ppt Ergonomics Initiative At Cummins Powerpoint Presentation

Difference Between Blue Collar And White Collar With Comparison

Difference Between Blue Collar And White Collar With Comparison

Blue Collar Definition Blue Collar Meaning Words To Describe

Blue Collar Definition Blue Collar Meaning Words To Describe

Https Lh3 Googleusercontent Com Proxy Fgw3cxgkelr J6m3sb74e 8ve2gyxtebozaz4kvxqsh5c6erzjigs43e5rsj Rtax6 Zak6sjy2ndwgz4ba2oafewoljzfrth3uhxetjupzbhj Vfvjlssqbgm7xbpgegmcgmg

Https Lh3 Googleusercontent Com Proxy Fgw3cxgkelr J6m3sb74e 8ve2gyxtebozaz4kvxqsh5c6erzjigs43e5rsj Rtax6 Zak6sjy2ndwgz4ba2oafewoljzfrth3uhxetjupzbhj Vfvjlssqbgm7xbpgegmcgmg

Labor Definition Types How It Affects The Economy

Labor Definition Types How It Affects The Economy

Https Encrypted Tbn0 Gstatic Com Images Q Tbn 3aand9gcr3yz1oqazfmduomftaztfh4dvgxfh339zvaw 8uq7xwfdxs1s9 Usqp Cau

Https Encrypted Tbn0 Gstatic Com Images Q Tbn 3aand9gcr3yz1oqazfmduomftaztfh4dvgxfh339zvaw 8uq7xwfdxs1s9 Usqp Cau

Exempt Employee Definition

Exempt Employee Definition

What Is Labor

What Is Labor

Workers Reveal What It S Really Like To Work At Costco

Workers Reveal What It S Really Like To Work At Costco

Nrs Social Grade Definitions Businessballs Com 2015 Download

Nrs Social Grade Definitions Businessballs Com 2015 Download

T7hn1 2 5 Ghz Diversity Access Point User Manual Users Manual 1

T7hn1 2 5 Ghz Diversity Access Point User Manual Users Manual 1

What Makes Work Meaningful Or Meaningless

What Makes Work Meaningful Or Meaningless

Manual On Labor Management Relations Japanese Experiences And Best P

Manual On Labor Management Relations Japanese Experiences And Best P

10 Benefits Of Manual Labor Results Staffing

10 Benefits Of Manual Labor Results Staffing

Manual Labour Wikipedia

Manual Labour Wikipedia

How To Create Training Manual Steps And Template Included

How To Create Training Manual Steps And Template Included

2

2

Skilled Labor Vs Unskilled Labor Small Business Chron Com

Skilled Labor Vs Unskilled Labor Small Business Chron Com

Manual Hardhat Stock Photos And Images 123rf

Manual Hardhat Stock Photos And Images 123rf

Difference Between Blue Collar And White Collar With Comparison

Difference Between Blue Collar And White Collar With Comparison

The Blue Collar Drought

The Blue Collar Drought

Manual Handling Regulations Tips And Advice British Safety Council

Manual Handling Regulations Tips And Advice British Safety Council

Head Hand Heart Book By David Goodhart Official Publisher

Head Hand Heart Book By David Goodhart Official Publisher

How To Create An Operations Manual For Your Business And Avoid

How To Create An Operations Manual For Your Business And Avoid

Http Learning Itcilo Org Ilo Jur En Bibl E19 Pdf

Http Learning Itcilo Org Ilo Jur En Bibl E19 Pdf

Pin On Business Templates Design

Pin On Business Templates Design

Https Www Jstor Org Stable 2091718

Https Www Jstor Org Stable 2091718

Manual Definition And Meaning Collins English Dictionary

Manual Definition And Meaning Collins English Dictionary

What Is Occupational Health And Safety

What Is Occupational Health And Safety

What Type Of Job Is An Example Of Manual Labor Quora

What Type Of Job Is An Example Of Manual Labor Quora

Sample Human Resources Policies For Employee Management

Sample Human Resources Policies For Employee Management

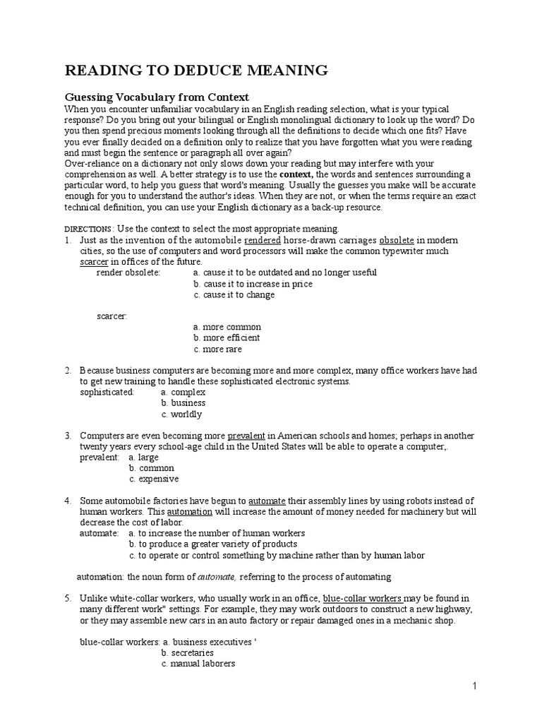
Reading To Deduce Meaning Automation Languages Free 30 Day

Reading To Deduce Meaning Automation Languages Free 30 Day

Working Words At Work H7 Kdg Hb Bom 37042 Kdg Studocu

Working Words At Work H7 Kdg Hb Bom 37042 Kdg Studocu

14 Must Have Construction Skills To Land A Job Bigrentz

14 Must Have Construction Skills To Land A Job Bigrentz

The Difference Between Full And Part Time Employees

The Difference Between Full And Part Time Employees

Manual Labour Wikipedia

Manual Labour Wikipedia

The Ultimate Augmented Worker Guide How Technology Can Power Your

The Ultimate Augmented Worker Guide How Technology Can Power Your

Automation Benefits And Costs Economics Help

Automation Benefits And Costs Economics Help

Introduction To The Health And Safety At Work Act 2015 Special

Introduction To The Health And Safety At Work Act 2015 Special

Blue Collar Employees Definition Importance Example Types

Blue Collar Employees Definition Importance Example Types

The Consequences Of Poor Manual Handling High Speed Training

The Consequences Of Poor Manual Handling High Speed Training

Https Encrypted Tbn0 Gstatic Com Images Q Tbn 3aand9gcqka5pb0qh0mywc67qsxpaoi7ifhcyez8dytg Usqp Cau

Https Encrypted Tbn0 Gstatic Com Images Q Tbn 3aand9gcqka5pb0qh0mywc67qsxpaoi7ifhcyez8dytg Usqp Cau

Definition Of The White Or Blue Collared Barista

Definition Of The White Or Blue Collared Barista

Healthy Foods For Manual Laborers And Contractors Gocontractor

Healthy Foods For Manual Laborers And Contractors Gocontractor

Knowledge Management Infrastructure Approach Knowledge Worker

Knowledge Management Infrastructure Approach Knowledge Worker

Https Encrypted Tbn0 Gstatic Com Images Q Tbn 3aand9gctyvwv5ibjnf8ocdgyvvprzyqjgu49yxbdk2kvbdelpqawo1e 8 Usqp Cau

Https Encrypted Tbn0 Gstatic Com Images Q Tbn 3aand9gctyvwv5ibjnf8ocdgyvvprzyqjgu49yxbdk2kvbdelpqawo1e 8 Usqp Cau

Blue Collar White Collar Why Do We Use These Terms

Blue Collar White Collar Why Do We Use These Terms

Http Www Un Org Depts Ptd Manual Htm

Http Www Un Org Depts Ptd Manual Htm

What The Future Of Work Will Mean For Jobs Skills And Wages

What The Future Of Work Will Mean For Jobs Skills And Wages